The Haman Hoax
Structure:
* The Hoax
Stage one: Maurice Bucaille
Stage two: Islamic Awareness
Stage three: Harun Yahya
* Various Appendices
[To fully understand the argument, it is important to read the various parts in their intended sequence. The reader is advised to start with the Introduction.]
Stage Two: Islamic Awareness
Islamic Awareness is one of the “most prominent” Muslim apologetics websites1 responding to criticism of the Qur’an, particularly in regard to critical arguments published by Answering Islam. It is no surprise that they would also attempt to deal with the problem of Haman’s appearance in the Qur’an in the context of the encounters between Moses and Pharaoh. In November 2000 they published an article on this issue in which they did little more than quote and repeat the claims of Maurice Bucaille in the section that dealt with finding the name Haman in Egyptian records.2 Being confronted with a number of crucial questions regarding Bucaille’s claims in Andrew Vargo’s rebuttal (*) to the first version of their argument, it took nearly five more years before they published a substantially revised version of their article in January 2006. For their revision they consulted the references mentioned by Bucaille (Ranke, Wreszinski), and they are even bringing some further references into the discussion. Although I can hardly imagine that they didn’t realize in their research that Bucaille misrepresented and abused these sources, they could apparently not find any better alternative “solution” and decided to still base their answer on Bucaille. In the current version of their article (dated June 2006, with only minor changes since January 2006), they write:
One of the earliest scholars to deal with the name "Haman" in the Qur'an from the point of view of Egyptology was Dr. Maurice Bucaille. He surmised that since "Haman" was mentioned in the Qur'an during the time of Moses in Egypt, the best course of action was to ask an expert in the old Egyptian language, i.e., hieroglyphs, regarding the name. Bucaille narrates an interesting discussion he had with a prominent French Egyptologist:
After this introductory paragraph they continue with quoting (the majority of) the text from Bucaille’s book that was discussed above. There is no need to quote or discuss this text a second time, but I wanted to quote Islamic Awareness’ endorsement of Bucaille since his text is the basis and starting point of their argument. Note that they call Bucaille a scholar!3 In my opinion (based on the evidence amassed in the first part), Bucaille created a hoax and deliberately lied for the purpose of advancing Islam and he has therefore lost all credibility. Dr. Bucaille may well have been a good medical doctor, but – to use a medical term – he was an “Egyptological quack”. Anyway, personal opinion aside, what is Islamic Awareness adding to the discussion?
After quoting Bucaille, they continue:
Let us now cross-check some of the statements made by Bucaille. …
This is progress! Islamic Awareness (IA) realized that even though Bucaille’s statements sounded fantastic, in final analysis, he only made claims and did not present any hard evidence. He merely claimed that evidence can be found in certain books by Ranke and Wreszinski. Thus, for the revised version of their paper, MSM Saifullah and his team have taken it upon themselves to substantiate the claims of Bucaille and to present evidence. This is a positive change of mind, and I am glad that they agree now that genuine evidence is necessary.
Okay, then, here is the result of their cross-checking and their improved argument:
Let us now cross-check some of the statements made by Bucaille. The following entry tabulated in Walter Wreszinski's Aegyptische Inschriften aus dem K.K. Hof Museum in Wien mentions the name hmn-h, though no critical analysis of the hieroglyph was provided.
![]()
Figure 4: Hieroglyph entry for "hmn-h" and his profession "Vorsteherder Steinbruch arbeiter" meaning "the chief / overseer of the workers in the stone-quarries" and dates from the New Kingdom Period.[63]
![]()
Figure 5: More information on "hmn-h". Notice that the "hmn-h" mentioned by Wreszinski is masculine.[64]
While discussing this name, Hermann Ranke in his Die Ägyptischen Personennamen was unsure what the last letter "h" in the name hmn-h represented. Therefore, he designated the entry as "hmn-h(?)" as if suggesting "h" was not actually part of the name.[65]
I am genuinely grateful to the team of Islamic Awareness that they dug up the rare book by Wreszinski and provided us with images of the relevant passages, although they clearly have trouble to understand the text.4
However, Wreszinski did not transliterate the hieroglyphs of the name,5 and the topic of this debate is the name of the person mentioned in this inscription, specifically the pronunciation of this name. Is that hieroglyphic name really equivalent to “Haman” in the Qur’an? Why is Islamic Awareness not providing us with an image from Ranke’s book since it is Ranke’s transliteration of this name that is the basis of this alleged identification?
I think it is very revealing that they display images from Wreszinski’s book but not the image of the entry in Ranke’s dictionary of personal names. The reason is easily discovered. There are two small details in Ranke’s entry that destroy the Muslim argument, and Islamic Awareness (IA) does not want their readers to notice these to two details. Therefore they decided to only talk about the entry without showing the entry itself. This cover-up operation backfires against them and severely damages their credibility.6 Well, in the meantime, Ranke’s three-volume dictionary became available online (1, 2), and here is Ranke’s entry found on page 240 of volume one:
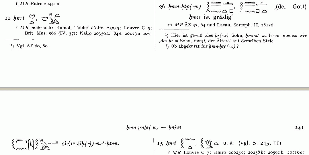
Note the following “insignificant” details: First, the IA-team removed a space. They write Ranke’s transliteration as “hmn-h(?)” instead of “hmn-h (?)”. Does that make any difference? Yes, it does, and in this case this difference is crucial. The question mark does not refer to the final “-h” alone, it refers to the name as a whole. Second, there is a footnote attached to the question mark in parentheses. And this footnote explains why the question mark is there. It is intellectually dishonest to make up another meaning for the question mark than the meaning given by the author who put it there. Here is a larger image from Ranke’s book, showing also the footnote as well as the entries before and after entry No. 25:
Footnote 2) means, translated into English: “whether abbreviated for hmn-htp(.w) ?” In other words, Ranke says that the hieroglyphic signs which are transliterated as hmn-h are an abbreviation for another name, and, although he is apparently not fully certain, most likely they stand for hmn-htp(.w), i.e. the name that is listed in the next entry, No. 26.
One thing, however, is certain: Ranke did not suggest that the final “h” can be dropped. On the contrary, according to Ranke it is an abbreviation for a longer name, probably Hemen-hetep, meaning “(the god) Hemen is merciful”.
What did Islamic Awareness make of Ranke’s entry?
While discussing this name, Hermann Ranke in his Die Ägyptischen Personennamen was unsure what the last letter "h" in the name hmn-h represented. Therefore, he designated the entry as "hmn-h(?)" as if suggesting "h" was not actually part of the name.
Like their master Maurice Bucaille, they are clearly abusing their sources. They desperately need to find Haman in this inscription, since that is the only name in Egyptian records that remotely looks like “Haman”.7 Thus, they decided to twist and misrepresent the dictionary to make it fit. No, Ranke did certainly not suggest that the “h” was perhaps not part of the name. To propagate this claim is intellectually dishonest and a deliberate deception for the purpose of misleading the readers.
This observation alone destroys the argument of Islamic Awareness (and thus Bucaille’s argument that they attempted to strengthen and substantiate). As stated in the first part, Muslims are free to make their own, independent argument. If they think that the final “h” in this name can be dropped, then they need to bring their evidence and carefully argue why they think it should be dropped. But they cannot appeal to the authority of Ranke and his dictionary since Ranke says exactly the opposite: The “-h” is an abbreviation and needs to be expanded, not dropped. The IA-team misrepresents and abuses Ranke.
Moreover, there is another important observation that can be made. Look at entries No. 24 (for which Ranke gives the meaning “(the god) hmn is great”) and No. 26 (“(the god) hmn is merciful”). What does “hmn” stand for? The hieroglyph
, transliterated “hmn”, is the name of an Egyptian deity.8 It is not the name of a human being, but the name of a god. That is the reason why Muslims were unable to find “hmn” listed among Egyptian personal names. Human beings are usually not given the names of gods. No Muslim would dare to name his son “Allah”. Even the pre-Islamic pagans would never name their children “Hubal” or “Manat” or “Uzza”, only Abd-al-Uzza (meaning “slave of Uzza”). But the names of the gods themselves are not given to human beings. That would be preposterous and would be considered blasphemy.
Wreszinski does not explicitly discuss the name of the person. He only translated the title or profession of the person mentioned in this inscription but he did not transliterate the name. However, the second image that the IA-team displays from Wreszinski’s book provides an indication that he may also have recognized that it is an abbreviation. Here is the note again:
After listing the name on the inscription and noting that it is masculine, he writes “Vgl.” which means “compare”, i.e. he says one should compare this name with two other names. When we search for these two names in Ranke’s dictionary, we find the first name in the second part of entry No. 26 (somewhat inconveniently listed at the top of the next page),
and the second name is entry No. 24 on page 240 which is already shown on the image displayed above. In other words, Wreszinski, who studied the inscription on this door post, also understood “hmn-h” to be a name related to two other names meaning “(the god) Hemen is ______”, and since “-h” is not a full word, i.e. it doesn’t mean anything, it must be an abbreviation (for an adjective which is a suitable attribute for a deity).
Following the reference in No. 26, we find that name again on page 300, entry No. 16.
Again, this name is an expression of devotion to the god Hemen. The German text means “‘my dignity is in the hand of the (god) hmn’ or similar”.
Here is another relevant quote from the first page of the preface of Ranke’s dictionary:
Wo ich einen Namen für einen Vollnamen halte, habe ich grundsätzlich, wo es irgend anging, eine deutsche Übersetzung versucht. … Kurznamen und Kosenamen sind grundsätzlich unübersetzt gelassen. (Volume I, page v)
Translated into English, this means:
Whenever I consider a name to be a full name [i.e. the full form of a name], I have tried to provide a German translation. … Abbreviated names [i.e. shortened forms of names] and terms of endearment are left without translation.
This is another piece of evidence that Ranke did not consider this hieroglyphic name to be the full (and official) form of a name, but an abbreviated name. He gave a translation for entries 24 and 26, but did not give a translation for entry No. 25.
What could possibly be a reason for dropping the final h? Does Islamic Awareness want to suggest that there is an “ancient typo” in this inscription, a “slip of the chisel” so to speak? In Latin script, it is only a minor horizontal stroke to turn a lower-case letter l into a lower-case letter t. Maybe that was an unintentional small stroke? In upper case, it takes one horizontal stroke to turn an I into an L or T. Or in Turkish there are two letters that look very much alike, a lower-case i with and without a dot on top (i, ı). There are certainly instances where people accidentally misspell or mistype a letter. However, the situation is entirely different for the name found in this inscription. As explained in the first part of this article, the name in the inscription is
, where
represents the consonants hmn and stands for the Egyptian god Hemen, and
has the phonetic value h. This double character consisting of (elephant)tooth and papyrus role doesn’t look like an unintentional slip of the chisel. It is much too elaborate to be considered accidental. Moreover, this name is even mentioned twice on the door post. There are two “offering formulas” (invocations, good wishes for the afterlife of the deceased) which both contain his name, and the name is written in exactly the same way in both instances. There is absolutely no justification to remove these two hieroglyphic signs, i.e. two out of five or 40% of the hieroglyphic characters of the name.
Although the argument is already over, let’s have a look at some further statements in the revised version of the article by the IA-team.
In order to understand how the hieroglyphs are written and interpreted, let us take a look at the salient features of this form of writing. … The Egyptian hieroglyphic writing consists of an inventory of signs and is divided into three major categories, namely logograms, signs that write out morphemes; phonograms, signs that represent one or more sounds; and determinatives, signs that denote neither morpheme nor sound but help with the meaning of a group of signs that precede them. It is usually a picture of an object which helps the reader to understand the object and the context. The Egyptian hieroglyphs disregard the vowels. In other words, with this system one arrives at words that are connected by vowels. For example, let us take the word "beautiful". Its transcription in the Egyptian hieroglyphics is nfr. To ease the pronunciation of these three consonants, they are bound together with "e-sounds", which leads to nefer.[66] This pronunciation bears no relation with the original pronunciation of the Egyptian language. It is solely a convention to enable communication among the modern scholars or even commonfolk interested in ancient Egyptians hieroglyphs. It is not surprising that the scholarly pronunciation of Egyptian hieroglyphs (even consonants!) also differs. (bold underline emphasis mine)
The formulation “no relation” seems to be a bit strong. But let’s take the statement as it is. The four authors of this article apparently do not to realize that they are severely undermining their argument with this element of “honesty”. Although it is true that (in many cases) we do not know which vowels should be inserted between those consonants, this also means that the insertion of the vowel “a” is just as arbitrary as the insertion of the vowel “e”. The hieroglyphic name transliterated as “hmn” is usually pronounced “Hemen” in academic communication. As much as many Muslims would like to make it “Haman”, we can only respond with the words of the Muslim article that “this pronunciation bears no relation with the original pronunciation of the Egyptian language.” Moreover, Islamic Awareness goes so far as to admit that the scholars do not even agree on the sounds of the consonants. What else does this say than that “hmn” may not even be “hmn”? Doesn’t that mean that it is an exercise in futility to search for Haman in hieroglyphs when the pronunciation used by the scholars “bears no relation with the original pronunciation of the Egyptian language”? On what basis can any Muslim then claim that a certain name in hieroglyphs is the equivalent of a certain name in the Arabic Qur’an?
The IA-team continues:
The hieroglyph in our case is hmn-h(?) with a doubtful last letter. If we drop the last letter which is doubtful, …
There is, however, no doubt about this: Repeating false claims does not make them become true.
If we drop the last letter which is doubtful, the name can be rendered as "hemen" or "haman" depending upon the vowel which is inserted to ensure an effective pronunciation of the hieroglyph.
Or it can be rendered “human”, “hemun”, “homin”, “himen”, and who says there can only be two vowels and the word has to begin and end on a consonant? What about “himuna”, “himeni”, “humeni”, “hominu” or “hamuni”? Add to that the admission of Islamic Awareness that we cannot even be sure about the consonants!
They continue:
It is interesting to note that the profession of this person hmn-h(?) in German reads Vorsteherder Steinbruch arbeiter - "The chief / overseer of the workers in the stone-quarries" (Fig. 4) . This name is listed as masculine (Fig. 5) and it is from the New Kingdom Period (Fig. 4). The generally accepted theory appears to be that Moses lived during the reign of kings Rameses II or his successor Merenptah in the New Kingdom Period. The Qur'an suggests that Haman was a master of construction and this name appears to fit very well in almost all respects.
Well, that name appears to fit well only after the Muslim authors butchered it and “made it” fit. It does not naturally fit “in almost all respects”. Also the profession is not as fitting as IA would like to make us believe. As already stated in the first part, this person was not the government official responsible for all the stone-quarries in the empire, but merely the overseer of the workers in one particular stone-quarry, the quarry of Amun. And overseers usually have to oversee, i.e. they have to be present in the quarry to oversee the work of the workers. The Haman of the Qur’an, however, appears to be part of Pharaoh’s entourage, an important advisor or top government official, a person who was usually in the presence of the Pharaoh or close by. Unless the Muslims want to claim that the residence of the Pharaoh was located in the stone-quarry of Amun, and the government officials of the Pharaoh were usually meeting in this particular stone-quarry, I find it difficult to imagine that these two jobs were compatible. Finally, as long as we do not know who actually was the Pharaoh of the Exodus, and since the New Kingdom Period lasted from 1552-1069 BC or roughly 500 years according to Islamic Awareness (*) it is vastly more likely that this hmn-h and the Pharaoh of the Exodus never met than that they were contemporaries, let alone intimates.
However, an objection can be raised regarding the contents in the hieroglyph and the Qur'an. The Qur'an uses ه (/h/) instead of ح (/h/) for the name "Haman". …
We applaud the IA-team that they mention the issue of the wrong first consonant. However, this discussion is largely irrelevant as long as they don’t provide a valid reason for removing the final –h from the name. And even if they remove it, then they are left with the name of an Egyptian deity, a name that is nowhere documented for a human being.
The question now arises as to whether the Haman mentioned in the hieroglyph from the K.K. Hof Museum is the Haman mentioned in the Qur'an. Maybe. Although there are a lot of interesting similarities between the Haman's mentioned in the Qur'an and in the hieroglyph, it is currently not possible to determine with a great degree of certainty whether this hieroglyph refers to the Qur'anic Haman.
Again, I applaud the IA-team for being a lot more cautious than Bucaille who was rather rash in identifying the two when he claimed that the person mentioned in the inscription was “the intimate of Pharaoh”. At least as interesting as the similarities (which ones exactly?) are the differences which make it rather obvious that these two people cannot be the same.
What we do know, however, is that the name Haman is attested in ancient Egypt, it is a masculine name, and it dates to the New Kingdom period, the period of history in which Moses is principally associated.
That is not true. Islamic Awareness has merely further truncated the transliteration of an abbreviation of a name (most probably Hemen-hetep), but they have not given any evidence for the occurrence of the name “Haman” in Egyptian records.
Under “Conclusions” the IA-team does not only summarize and repeat several of their errors, but they manage to introduce some new errors which they had been able to avoid up to that point. They write:
Wreszinski's Aegyptische Inschriften aus dem K.K. Hof Museum in Wien published in 1906 CE noted a hieroglyph engraved on a stela kept at the K.K. Hof Museum in Vienna, Austria, contained the letters hmn-h.
That statement contains several errors and nearly looks as if Bucaille had his hands in the formulation. Very sloppy! What do they even want to say? What “contained the letters hmn-h”? The hieroglyph, the stela or the book? Grammatically, only the following makes sense: “Wreszinski's Aegyptische Inschriften aus dem K.K. Hof Museum in Wien … contained the letters hmn-h.” But that is wrong. Wreszinski’s book nowhere transliterates the name. He only copied the hieroglyphic signs of the name as well as the title of the person, and then translated (part of) the title.
Moreover, the transliteration in Ranke’s book has two identical letters h. Both have a dot underneath the letter. So, in the notation of Islamic Awareness (who have apparently chosen to replace the standard notation, the h-dot by an h-underline), it needs to be written hmn-h. Maybe they did not bother to underline the final h since they were going to drop it anyway?
Finally, Wreszinski nowhere talks about a stela. Islamic Awareness merely copied that error from Bucaille without bothering to look what Wreszinski actually wrote. It is a door post9, not a stela.
About thirty years later while discussing this name, Ranke in his Die Ägyptischen Personennamen was unsure what the last letter "h" in the name hmn-h represented. Therefore, he designated the entry as "hmn-h(?)" suggesting as if "h" was not in actuality part of the name. If we drop the doubtful last letter, …
This atrociously false claim still does not become true by making it a mantra and repeating it over and over again. Ranke never suggested anywhere that the final “"h" was not in actuality part of the name”. Moreover, the formulation “while discussing this name” sounds like Ranke wrote a paper on it. That is wrong. Ranke merely listed that name in his dictionary and added a minimal footnote in which he indicated that this name is most likely an abbreviation for another name, i.e. Hemen-hetep, meaning “(the god) Hemen is merciful”. Nowhere did Ranke cast any doubt on that letter.
If we drop the doubtful last letter, the name can be rendered as "hemen" or "haman" depending upon the vowel which is inserted to ensure an effective pronunciation of the hieroglyph.
That may well be so. However, Islamic Awareness has not provided the slightest justification for dropping that letter. Moreover, if we actually drop the final two hieroglyphic characters from the name, i.e. the characters that correspond to “-h”, then we have the name of an Egyptian deity, Hemen.
With only a minor adaptation of the formulation used by the IA-team, we can say that it is actually the argument of Islamic Awareness that is (more than) questionable [doubtful] and should therefore be removed [dropped] from the internet.10
It is interesting to note that the profession of this person hmn-h(?) in German reads Vorsteherder Steinbruch arbeiter - "The chief / overseer of the workers in the stone-quarries" (Fig. 4). This name is listed as masculine (Fig. 5) and it is from the New Kingdom Period (Fig. 4).
The problems with this translation have been discussed above. A better rendering would be “The chief / overseer of the workers in the stone-quarry of Amun”.
The generally accepted theory appears to be that Moses lived during the reign of King Rameses II or his successor Merenptah in the New Kingdom Period. The Qur'an suggests that Haman was a master of construction and this name appears to fit very well in almost all respects. However, it is unclear whether Haman mentioned in the hieroglyphs is actually the Hamam[sic] mentioned in the Qur'an. More research would throw some light on this issue.
To say that this is the “generally accepted theory” is claiming far too much. It may be the hypothesis that is favoured by a majority of scholars, but there are serious dissenting voices. I am, however, not aware of even one genuine scholar of Egyptian history who accepts the theory propagated by Bucaille or Islamic Awareness that the person that is mentioned in hieroglyphs in the inscription on this door post is (Bucaille) or could be (IA) the Haman of the Qur’an. There are too many significant details that make this identification impossible. Further research can only further disconfirm this hypothesis. Finally, I am not aware that the Qur’an mentions a Turkish bath (Hamam), anywhere at all.
The historicity of the name Haman …
The historicity of the name was not the question. It is an ancient name. The problem was that this name appeared in the wrong place, i.e. it was placed in a geographically and historically wrong context by the author of the Qur’an.
The historicity of the name Haman provides yet another sharp reminder to those that adhere to the precarious theory that parts of the Qur'an were allegedly copied from the Bible.
If only the author of the Qur’an had faithfully copied. The problem is that he did not but, based on hearsay, either deliberately changed or ignorantly confused different stories of the Bible and various other sources (cf. Sources of the Qur’an).
If Egyptian hieroglyphs were long dead and the Book of Esther a work of fiction, then from where did the Prophet Muhammad obtain his information?
As we have shown, the name Haman is definitely not found in the hieroglyphic inscription that the Muslims appeal to, and (as far as I know) it is not found in any other hieroglyphs either. Moreover, I agree, the author of the Qur’an did certainly not get it from hieroglyphs. However, there can be no doubt about the fact that the Qur’an incorporates material from various fictional accounts (apocryphal books, legends, etc.). Even if the Book of Esther were a work of fiction, then it would be only one of many fictional works from which the author of the Qur’an drew inspiration.
Investigating the historicity and canonicity of the Book of Esther is without question interesting and important. The answer to these questions has, however, little consequence for the discussion of the appearance of Haman in the Qur’an. Haman was most likely lifted from the Book of Esther, and that regardless of its historicity or canonicity.11
Two paragraphs before the above statements, the IA-team makes more than a quantum leap beyond the realm of logic:
As we have observed, that the book of Esther lacks historicity is not too unexpected. This unhistorical Haman is portrayed as the prime minister of Ahasuerus, King of Persia. The plot of the unhistorical Haman to annihilate the Jews in the Persian Empire in retaliation for Mordecai's refusal to bow to him, seems to be the corrupt version of the original event when Haman had a hand in suggesting and executing the second massacre of the Israelites newborn males, to demoralise the Israelites and discourage them from following Moses.
That is one of the wildest claims I have ever seen – and I have seen a lot. “Seems to be”? What made it seem to be that way to the Muslim authors? It seems that IA wants to turn the principle on its head that a later story could have been copied from, or could contain elements of, an earlier story, but not the other way around. Thus, the Qur’an that was first “revealed” (composed) around 620 AD could be dependent on the Book of Esther (about 450 BC), but the Book of Esther can hardly be a corrupted version of the story in the Qur’an that appeared a thousand years later. Should we believe this Muslim conspiracy and corruption theory simply because Mordecai and Moses both start with “Mo”? That would not be a reason anybody would be willing to accept. But Islamic Awareness does not even offer a reason as silly as that. They don’t offer any reason at all. Their claim is issued without even the least shred of evidence to support it. Who, when, how? Most importantly, why should anyone have corrupted the allegedly original version that is only found in the Qur’an? Is there any evidence that a story even remotely similar to that of the Qur’an was known before the Book of Esther was written? If Haman had been part of the story of Moses, i.e. part of the Torah, why would the Jews remove him from that story and transfer him into a different context in Persia? There exists neither evidence for this nor a motivation for doing so. A simple confusion on the part of Muhammad is a much more credible explanation.12 [Appendix 2 examines various strong points of similarity between the biblical and the quranic Haman, thus substantiating the case for the literary dependency of the latter on the former.]
If Egyptian hieroglyphs were long dead and the Book of Esther a work of fiction, then from where did the Prophet Muhammad obtain his information? The Qur'an answers:
Your Companion is neither astray nor being misled. Nor does he say (aught) of (his own) desire. It is no less than inspiration sent down to him. He was taught by one mighty in Power. [Qur'an 53:2-5]
I agree, this is the claim that the Qur’an makes about itself. But we have so far no evidence that would substantiate this claim. The Muslim authors want to pose this question in form of a dilemma, but there is no dilemma. Divine revelation is not the only answer, and is not even a credible answer.
It is interesting to note that the meaning of the word ayah, usually translated as 'verse' in the Qur'an, also means a sign and a proof. The reference to Haman and other facts concerning ancient Egypt in the Qur'an suggests a special reflection.
Yes, this suggests special reflection. Isn’t it amazing how well the story of the Qur’an agrees with this hoax and deliberate fraud which we have observed in the presentation of Bucaille and Islamic Awareness? Could it perhaps be that both accounts received their inspiration ultimately from the same source?
Now, if the Qur’an had explicitly stated the name of the Pharaoh of Moses – a detail that is not mentioned in the Bible, the Talmud or any of the Jewish legends – that would have been impressive. But transferring Haman from the Persian court to the court of Pharaoh in the Qur’an is not a miracle. That is easily explained by confusion (see the Introduction), and certainly not a reason to stand in awe before the Qur’an.
Continue with Stage Three: Harun Yahya
Additional issues
A couple of special issues regarding the claims of Islamic Awareness are placed in appendices so that the rebuttal to their main claim does not become too long. The rebuttal given above dealt with their attempt of substantiating the claim of Bucaille that Haman has been found in an Egyptian grave inscription.
However, Islamic Awareness offers a couple of further (contradictory) “solutions” to the problem. Following the sales principle “Buy one, get two for free” they ask the readers: Would you like some Hammon and/or Hemiunu to go with our main dish? The implications of that approach are examined in Appendix 5: The psychology of Islamic Awareness: It may be probable that it is somebody else?
After I had already finalized my evaluation of the claims of Islamic Awareness, I found out that they actually knew most of the facts which I discussed above. They did not simply make mistakes due to ignorance but they knew the truth and deliberately twisted and misrepresented their sources. That is a grave accusation that needs to be substantiated with solid proof. The evidence for this conclusion is presented in Appendix 6: What Islamic Awareness really knew.




